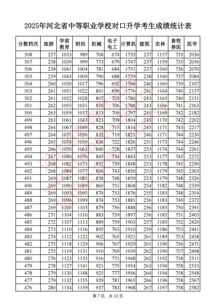
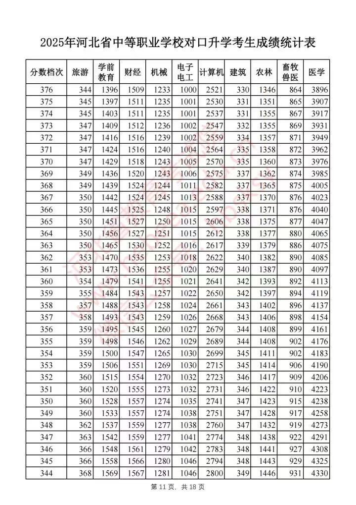
2025年河北對口高考錄取分數線 河北對口高考一分一檔表
作者:于老師發布時間:2025-06-25分類:學校新聞瀏覽:2711評論:0
導讀:2025年河北對口高考錄取分數線2025年河北對口高考一分一檔表石家莊冀聯醫學中專學校,醫學專業辦學38年,在校生5000人,開設護理、口腔、中醫、中藥、康復技術、醫學檢驗技術、醫...
2025年河北對口高考錄取分數線

2025年河北對口高考一分一檔表


















石家莊冀聯醫學中專學校,醫學專業辦學38年,在校生5000人,開設護理、口腔、中醫、中藥、康復技術、醫學檢驗技術、醫學影響技術,中專畢業后可參加對口高考升學。
石家莊冀聯醫學中等專業學校電話:0311-87368833; 18332472833(同微信)
石家莊冀聯醫學中專學校快手號:v18332472833
- 學校新聞排行
- 標簽列表
-
- 石家莊冀聯醫學院 (228)
- 石家莊鐵路職業技工學校 (409)
- 石家莊東華鐵路學校 (268)
- 石家莊天使護士學校 (188)
- 石家莊衛校 (201)
- 電大中專 (218)
- 石家莊同創鐵路學校 (263)
- 石家莊同仁醫學院 (397)
- 單招培訓班 (155)
- 石家莊鐵路學校 (146)
- 電工證 (98)
- 河北同仁醫學院 (432)
- 河北同仁 (330)
- 醫學中專 (382)
- 河北同仁醫學 (154)
- 石家莊護士學校 (81)
- 河北單招 (211)
- 衛校 (106)
- 中考 (158)
- 河北中考 (194)
- 2024年河北中考 (158)
- 高職單招 (160)
- 單招 (186)
- 對口升學 (71)
- 石家莊天使護士學校 (111)



